Laki eläkelaitoksen vakavaraisuusrajan laskemisesta ja sijoitusten hajauttamisesta annetun lain muuttamisesta (956 / 2021, alkuperäinen)
Eduskunnan päätöksen mukaisesti
1 § Soveltamisala
Tämä laki koskee lakisääteistä eläkevakuutusta, jota harjoittaa työeläkevakuutusyhtiöistä annetussa laissa (354/1997) tarkoitettu työeläkevakuutusyhtiö, eläkesäätiöistä ja eläkekassoista annetussa laissa (946/2021) tarkoitettu eläkesäätiö tai eläkekassa tai merimieseläkelaissa (1290/2006) tarkoitettu Merimieseläkekassa ( eläkelaitos ).
17 § Tuottovaatimusriski ja vakuutusriski
Tuottovaatimusriskiluokan riskiarvo lasketaan sen estämättä, mitä 12 §:ssä säädetään, kaavalla
$ V_j = (k + bC -\lambda S_j)A_j, $missä k on vastuuvelan laskemisessa käytettävä diskonttauskorko, b on laskentahetkeä seuraavana päivänä voimassa oleva työntekijän eläkelain (395/2006) 171 §:n 1 momentissa tarkoitettu eläkevastuun täydennyskerroin, S j on tuottovaatimusriskille määritelty tappio-olettama ja A j on vastuuvelka, josta on vähennetty työeläkevakuutusyhtiöistä annetun lain 14 §:n 2 momentin mukainen osittamaton ja ositettu lisävakuutusvastuu, eläkesäätiöistä ja eläkekassoista annetun lain 7 luvun 2 §:n 2 momentin mukainen lisävakuutusvastuu ja erät, joita yrittäjän eläkelain (1272/2006) 139 §:n 2 momentin mukaan ei oteta huomioon vakuutusmaksuvastuussa.
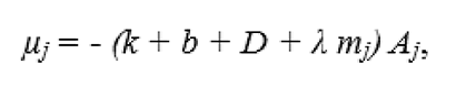
Tuottovaatimusriskin odotettu tuotto lasketaan sen estämättä, mitä 13 §:ssä säädetään, kaavalla
6478missä m j on tuottovaatimusriskille määritelty tuoton odotusarvo, A j on 1 momentissa määritelty vastuuvelka ja λ on työntekijän eläkelain 168 §:n 2 momentissa tarkoitettu osaketuottosidonnaisuuden aste.
28 § Poikkeukselliset olosuhteet
Valtioneuvoston asetuksella voidaan säätää, sosiaali- ja terveysministeriön saatua 1 momentissa tarkoitetun ilmoituksen, että Finanssivalvonta voi pidentää työeläkevakuutusyhtiöistä annetun lain 20 §:n 1 momentissa, eläkesäätiöistä ja eläkekassoista annetun lain 7 luvun 13 §:n 1 momentissa ja merimieseläkelain 209 §:n 1 momentissa taloudellisen aseman tervehdyttämissuunnitelman toteuttamiselle asetettua määräaikaa siten, että se päättyy viimeistään kolmen vuoden kuluttua asetuksen antamisesta.